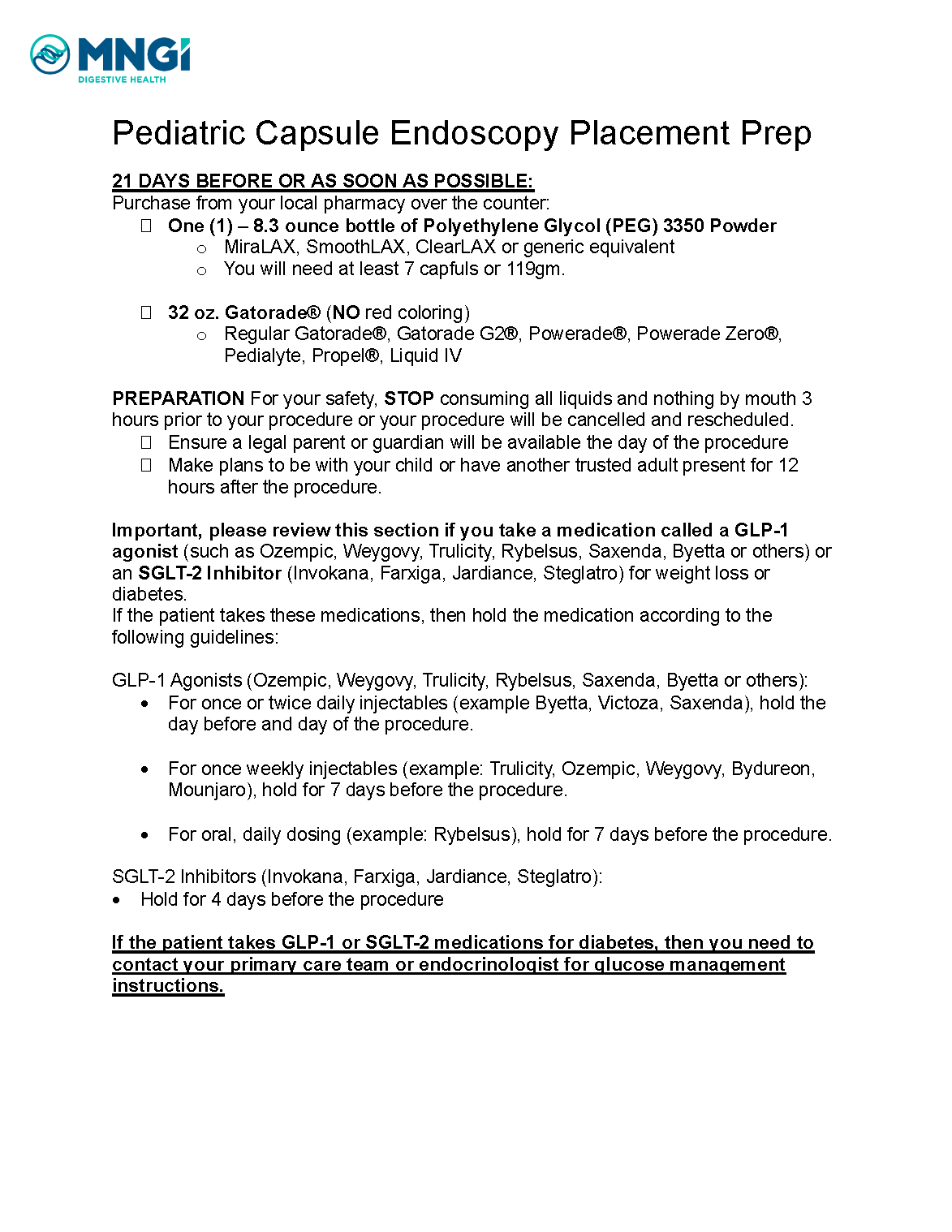
Peds PillCam Endoscopy

This page includes preparation instructions for a Peds Pillcam with Upper Endoscopy

PATIENT INSTRUCTIONS DOWNLOAD:

Medications:

  • You can take most prescription and non-prescription medications right up to the day of the colonoscopy.
  • Stop medications that contain iron and fiber supplements 7 days prior to your procedure.
  • Blood thinners may need to be temporarily discontinued prior to procedure. The length of time you will need to stop your medication depends upon which drug you are taking. Our office will work with your prescribing provider to obtain hold orders and communicate them to you before your procedure.
  • You will need to temporarily discontinue GLP-1 medications (such as Ozempic or Trulicity) prior to your procedure.
  • Take your usual morning medicines, at least four hours prior to your procedure with a small amount of water.

Responsible Person:

A parent, legal guardian, or other responsible adult must come with the patient to check-in, stay during the visit, and take the patient home after the procedure. This person will also help with care and instructions afterward. The visit usually takes about 2 hours from check-in to discharge.

Because of the anesthesia, patients may feel sleepy or have temporary memory changes after the procedure. For safety reasons, patients cannot drive, use machinery, or return to school or work until the next day.

If a responsible adult does not come to the appointment, the procedure will need to be rescheduled.

We strongly recommend that the responsible adult be present at discharge to listen to instructions, ask questions, and take notes about follow-up care.

  • Patients under 18: A parent or legal guardian must be present at check-in.
  • If the legal guardian cannot stay in person, they must be available by phone during the procedure and at discharge
NOTE: You are currently on the page for PEDS PILLCAM ENDOSCOPY.

If you need different prep instructions, please choose from the pull down menu below.